Aging
Navigate
Back to articleFigure 1(1 of 2)
100%
Figure 1
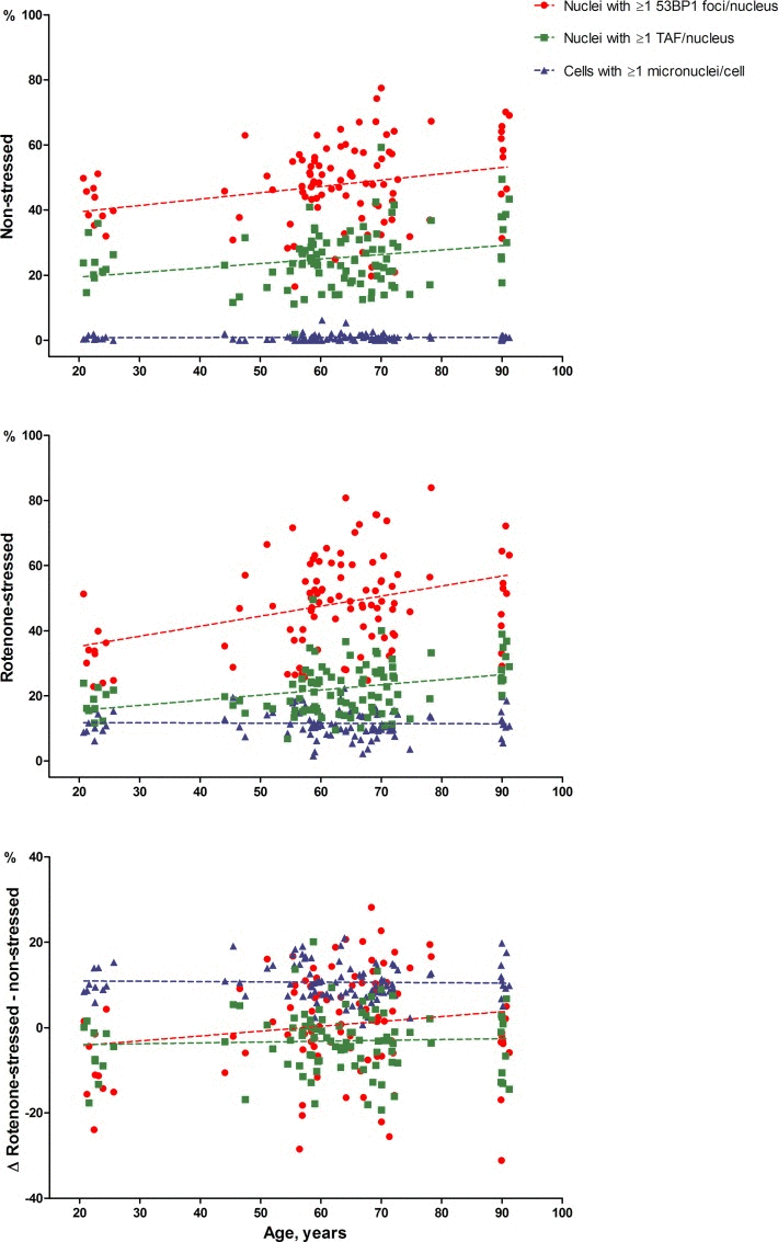
Figure 1.53BP1 foci, TAF and micronuclei dependent on chronological ageThe average percentage of nuclei with ≥1 53BP1 foci (circles) or TAF (squares) per nucleus and the average percentage of cells with ≥1 micronucleus (triangles) are depicted on the y-axis. Average percentages of duplicate series were used. Unadjusted regression lines are shown.
Figure 1 — DNA damage markers in dermal fibroblasts in vitro reflect chronological donor age | Aging