Research Paper Volume 9, Issue 4 pp 1280—1292

Markers of arterial health could serve as accurate non-invasive predictors of human biological and chronological age

Alexander Fedintsev1, , Daria Kashtanova2, , Olga Tkacheva2, , Irina Strazhesko3, , Anna Kudryavtseva1, , Ancha Baranova4,5,6,7, , Alexey Moskalev1,4,5,7,8, ,

  • 1 Engelhardt Institute of Molecular Biology of Russian Academy of Sciences, Moscow 119991, Russia
  • 2 The Russian Clinical Research Center for Gerontology, Moscow 192226, Russia
  • 3 Lomonosov Moscow State University Medical Center, National Center for Preventive Medicine, Moscow 119234, Russia
  • 4 Moscow Institute of Physics and Technology, Dolgoprudny, Moscow Region 141700, Russia
  • 5 School of Systems Biology, George Mason University (GMU), Fairfax, VA 22030, USA
  • 6 Federal State Budgetary Institution “Research Centre for Medical Genetics”, Moscow 115478, Russia
  • 7 Atlas Biomed Group, Moscow 121069, Russia
  • 8 Institute of Biology, Komi Science Center of RAS, Syktyvkar 167982, Russia

Received: February 21, 2017       Accepted: April 17, 2017       Published: April 28, 2017      

https://doi.org/10.18632/aging.101227
How to Cite

Copyright: © 2017 Fedintsev et al. This is an open access article distributed under the terms of the Creative Commons Attribution License (CC BY 3.0), which permits unrestricted use, distribution, and reproduction in any medium, provided the original author and source are credited.

Abstract

The decline in functional capacity is unavoidable consequence of the process of aging. While many anti-aging interventions have been proposed, clinical investigations into anti-aging medicine are limited by lack of reliable techniques for evaluating the rate of ageing. Here we present simple, accurate and cost-efficient techniques for estimation of human biological age, Male and Female Arterial Indices. We started with developing a model which accurately predicts chronological age. Using machine learning, we arrived on a set of four predictors, all of which reflect the functioning of the cardiovascular system. In Arterial Indices models, results of carotid artery duplex scan that show the thickness of the intima media complex and quantitatively describe the degree of stenosis are combined with pulse wave velocity and augmentation index measurements performed by applanation tonometry. In our cohort, the age of men was determined with MAE = 6.91 years (adjusted R-squared = 0.55), and the age of women with MAE = 5.87 years (adjusted R2 = 0.69). The Epsilon-accuracies of age-predicting models were at 86.5% and 80% for women and men, respectively. Substantially higher differences between the predicted age and the calendar age were noted for patients with Type 2 Diabetes Mellitus (T2D) as compared to non-T2D controls, indicating that the model could serve as a good approximation for an elusive biological age. Notably, in females with chronological and biological ages mismatching by 5 or more years, significant increases in in Framingham CVD scores and lower levels of IGF-1 were observed.

Proposed Male and Female Arterial Indices derive biological age from the results of functional tests which do not require specialized laboratory equipment and, therefore, could be performed in hospitals and community health clinics.

Introduction

Measuring aging biologically rather than chronologically provides personalized view to an optimal, rather than “normal” or “typical” health. Throughout the course of life, each of us gradually departs from the health trajectory defined by our individual genome. Even in case of identical twins, substantial differences in the timing of the onset development of particular aging-associated symptoms are common-place. At later stages of ontogenesis, non-genetic factors, both exogenous and endogenous, gain in importance. Hence, adult individual’s rate of ageing depends primarily on lifestyle rather than genes.

Newly introduced concept of anti-aging interventions enables individuals to actively modify their lifestyles or pharmacologically correct for accumulating biochemical or functional deficits. In order to properly evaluate relative efficiency of these interactions, objective measures of attained ageing are necessary. The quest for the best definition of biological age started in 1969, with the seminal paper of Comfort [1]. The chronological age is most easy to define as it typically can be traced to a birth record, while the quest to ascertain biological age without such a record still remains unattained. At best, biological age can be reflected by overall resemblance of an aged individual to an average degree of age-associated changes observed in a given population at given age. In the frame of this definition, any departure from population-wide standard of aging stems from a combination of environmental and genetic factors that either promote or delay the development and subsequent involution of various physiological systems and their capability to adapt. Therefore, a positive or a negative difference between biological and chronological age, observed in a given individual, may be interpreted as either speeding up or slowing down the ageing process, thus, providing a measure for an evaluation of one or another anti-ageing intervention.

There is a long history of attempts to determine biological age and quantify the tempo of the process of ageing. Typically, age determination utilizes one or another molecular facet of ageing, for example, the degree of the damage to cell’s DNA [2]. Among more recently developed integrative biomarkers of aging is the GlycanAge index that profiles the structural details of sugar chains attached to the conserved N-glycosylation sites of three types of IgG molecules. This index reflects the level of systemic inflammation, predicts chronological age with standard deviation of 9.7 years, and is superior to age evaluation using telomere length [3]. Peripheral blood mononuclear cells (PBMCs) mRNAs-based “trans-criptome age” index predicts chronological age with mean absolute error of 7.8 years [4]. Even more precise PBMCs-based “epigenetic age” relies on quantitation of the methylation of three CpG sites located in ITGA2B, ASPA and PDE4C genes with standard deviation of less than 5 years [5]. An increase in the number of profiled CpG dinucleotides to 353 improves epigenetics-based age estimates by decreasing an error down to 2.9 years [6]. This technique is also capable of predicting mortality (p < 0.003) [7], but not the probability of major cardiovascular event [8]. It should be noted that all the techniques described above require specialized equipment and skilled laboratory personnel, thus, limiting their clinical applicability. On another end of the spectrum are age-predicting models not specifically connected to any particular mechanism of aging, for example, deep neural networks (DNNs) modules evaluating common blood biochemistry and cell count tests [9]. Though the accuracy of this model is quite high, the number of parameters in the model is also high. Since deep neural nets are, in a nutshell, “black boxes”, the dissection of these models into mechanistic insights into the process of ageing is impossible.

The majority of the techniques described above have not yet entered clinical practice. The major culprits causing this lack of translation to the clinic have been a high number of the parameters requiring evaluation, and the laboratory, rather than clinical nature of tests being performed. From clinical perspective, the most convenient estimate of biological age would be the one relying on a combination of biochemical and physiological parameters typically evaluated in course of annual physical exam. Recently, a number of attempts to derive biological age from readily available clinical parameters were published, including these developed using retrospectively analyzed NHANES [10], Dunedin Young Adults [11], Long Life Family Study [12] or a combination of large cohorts [13]. The latter study is especially interesting as it demonstrated an integrated multi-system physiological dysregulation, with no particular physiological system emerging as clear contender as a source of “sentinel” biomarkers [12].

In this study, we attempt the dissection of biochemical and clinical predictors of age, the development of the predictive model for biological age, and explored the deviation of these predictions from chronological age in a cohort of 303 individuals. We quantified 89 clinical and biochemical parameters, then selected the top five parameters with a highest Pearson’s correlation with chronological age. Importantly, all five of these parameters reflect the functioning of the cardiovascular system. The outputs of the gender-specific linear regression models predicting chronological age were compared to actual age of the subjects. Substantially higher differences between the predicted age and the calendar age were noted for patients with Type 2 Diabetes Mellitus (T2D) as compared to non-T2D controls. We believe that the proposed gender-specific models, which we named Male and Female Arterial Indices, may serve as a good approximation for an elusive biological age. Importantly, the proposed age-approximation techniques rely on functional tests which do not require specialized laboratory equipment and, therefore, could be performed in hospitals and community healthcare settings.

Results

Two separate age-predicting models were built for men and women, respectively. The model for predicting an age of women, so called Female Arterial Index (1), was fitted using 182 samples of training set. Mean age was 50 years, with a standard deviation of 12.4 years. None of participating women had hypertension or diabetes, only 18 female participants ever smoked.

AGEW=-59.92+48.87CIMmin+2.4AIx+32.41PWV+0.64STENmax-0.95AIxPWV-0.7CIMminSTENmax (1),

where

CIMmin – minimal thickness of the intima media complex, in the left or right carotid,

AIx – Augmentation Index (AIx),

PWV – pulse wave velocity,

STENmax – Maximal of two stenosis values, on the left or on the right.

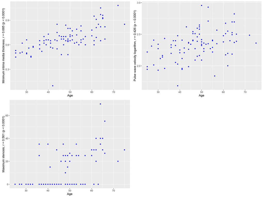
For each predictor, p-values are presented in Table 1, while correlations of each predictor with chronological age are shown in Figure 1. Female Arterial Index explains 69% of observed variation. Pearson’s correlation coefficient of the model outputs with actual chronological age was at 0.8 (95% CI: 0.74-0.85). Standard deviation of residuals was 7.49 years, and MAE was 5.54 years.

Table 1. The statistical significance of each independent variable for the model predicting calendar age for females.

CIMminAIxPWVSTENmaxSTENmax*CIMminAIx*PWV
p-values for females1.85e-140.0030.000822.76e-060.0126.68e-05
Correlation of the top predictors with age in female cohort.

Figure 1. Correlation of the top predictors with age in female cohort.

To evaluate performance of the model, two groups of female subjects were enrolled. First group (n = 50, age = 55.4 ±7 years) included women with hypertension. In this cohort, 18 participants were smoking, a proportion significantly higher than that for training set (p < 0.001, chi-squared test). In a cohort of women with hypertension, Female Arterial Index performed with MAE of 5.68 years and epsilon-accuracy of 86%. Interestingly, in this cohort, the mean difference between predicted and actual age was 3.17 years, which was significantly (p <0.01) higher than mean difference observed in age-matched women subsample selected from training set (n = 118, age = 57.8 ±7 years, mean difference between predicted and chronological age = 0.02 years). In other words, according to Female Arterial Index, all women with hypertension were predicted to be, on average, three years older than healthier women of the training cohort (Fig. 2).

Difference between predicted age and chronological age in heath-stratified cohorts of women.

Figure 2. Difference between predicted age and chronological age in heath-stratified cohorts of women.

Second validation cohort (n=30, age = 56.5±5.64 years) included women with Type 2 diabetes (T2D). In this cohort, 17 participants were smoking, a proportion significantly higher than that in training set (p < 0.001, chi-squared test). In this validation set, Female Arterial Index performed with MAE of 6.06 years and epsilon-accuracy of 87%. The mean difference between predicted and chronological age was at 3.35 years, which was also significantly (p=5.46e-06) higher than mean difference for age-matched training set (Fig. 2).

Finally, when T2D and hypertension groups were joined, mean MAE for validation cohort was at 5.87 years with epsilon-accuracy of 86.5%.

Male Arterial Index (2) was developed for chronological age prediction in men. The model was fitted by training on the cohort of 95 male subjects, with mean age of 45.6 years, standard deviation of 11.6 years and no history of T2D or hypertension. Seventeen of these subject reported history of smoking. Since the sample size for men was smaller than that for women, list of inputted features was reduced by limiting the model to significant predictors only.

AGEM=-0.86+46.68CIMmin+0.17STENmax+6.18PWV 

For each predictor, the statistical significance (Table 2), and the correlation with chronological age (Figure 3) were calculated.

Table 2. The statistical significance of independent variables inputted into Male Arterial Index predicting chronological age for males.

CIMminPWVSTENmax
p-value for Men0.0120.0450.0098
Correlation of predictors with male age.

Figure 3. Correlation of predictors with male age.

Male Arterial Index explains 54% of observed variation, with Pearson’s correlation coefficient of its output with chronological age being at 0.73 (95% CI: 0.62-0.81)). Standard deviation of residuals was at 7.92 years and MAE was at 6.22 years.

For Male Arterial Index, the test set (n =30, age = 49.6 ±9.7 years) included subjects with hypertension. Among these, 17 subjects were smoking, which represents significantly larger proportion than that in training set (p < 0.001, chi-squared test). MAE for this test set was at 6.91 years, with epsilon-accuracy at 80%. The mean deviation of predicted and chronological age was at 4.03 years, significantly (p=0.02) higher than that for training set (-0.53 years) (Fig. 4).

Difference between predicted age and chronological age in health-stratified cohorts of men.

Figure 4. Difference between predicted age and chronological age in health-stratified cohorts of men.

To provide a benchmark for Male and Female Arterial Indices, Framingham CVD Prediction Scores were calculated [14]. For females (N=182), Framingham CVD Prediction Scores were correlated with both chronological age (r = 0.808, p-value < 2.2e-16) and Female Arterial Index values (r = 0.756, p-value < 2.2e-16). When the CVD Prediction Scores were recalculated excluding age as an input, correlation with Female Arterial Age (r = 0.458, p-value = 2.803e-11) exceeded that with chronological age (r = 0.341, p-value = 2.197e-07). When females with more than five years of the difference between chronological age and biological age reflected by Arterial Index (N= 36) were compared to females with matching ages (N=145), statistically significant difference in their CVD Prediction Scores were noted (3.833 +/- 3.074 CVD Score units in age-mismatching group versus 2.31 +/- 2.987 CVD Score units in age-matching group, p-value = 0.005), thus indicating substantial health disparity in women with higher values of Arterial Index and, therefore, higher biological age. Interestingly, age-mismatching women also had lower levels of IGF-1 than age-matching controls (117.28 ng/ml +/- 52.66 ng/ml, mean = 101 ng/ml vs 150.299 ng/ml +/- 54.20 ng/ml, mean = 147 ng/ml; p-value < 0.001).

For men (N=95), correlations of Framingham CVD Prediction Scores with chronological age and with biological age approximated by Male Arterial Index were pronounced to substantially lesser degree (r=0.190, NS and 0.406, p-value < 3.655e-05, respectively). When men with more than five years of the difference between chronological age and biological age as reflected by Arterial Index (N=21) were compared to age-matching men (N=65), the differences in their CVD prediction scores had not reached statistical significance. Similarly, no significant differences in IGF-1 levels were noted.

In addition, Klemera-Doubal Biological Age estimates [10,15] were calculated for males and for females, separately. For females, Klemera-Doubal model demonstrated MAE of 7.68 years with r2 = 0.352. The model correlated with chronological age with r=0.779 (p-value < 2.2e-16), and with biological age approximated by Female Arterial Index with r=0.969 (p-value < 2.2e-16). For males, Klemera-Doubal model demonstrated MAE of 8.46 years with r2 = 0.07. The model correlated with chronological age with r=0.696 (p-value < 8.25e-12), and with biological age approximated by Male Arterial Index with r=0.974 (p-value < 2.2e-16).

Discussion

The development of a simple, accurate and not expensive technique for biological age estimation is an important premise for evaluation of the anti-aging therapeutics or aging preventive medicines. Here we propose gender-specific Arterial Indices that reliably determine age by employing medical equipment which is common in hospitals and community-based clinics, with no molecular or cellular tests required. Arterial Indices evaluated non-invasively, by quantifying four functional indicators of cardiovascular health by a combination of a carotid artery duplex scan and applanation tonometry. In our cohort, the age of men was determined with MAE of 6.91 years (adjusted R-squared of 0.55), and the age of women with MAE of 5.87 years (adjusted R-squared of 0.69). Epsilon-accuracies were at 86.5% and 80% for women and men, respectively. Moreover, we showed that subjects with TD2M and hypertension have significantly higher difference between predicted and actual age than healthy controls. This observation indicates that our model could serve as an estimator of biological age. Interestingly, the proportions of smokers were larger in group with higher deviation of the predicted age and chronological age. These findings are consistent with previous observations of an association of smoking with both an acceleration of epigenetic ageing [16] and faster telomere loss [17].

Importantly, Arterial Indices evaluate biological age solely upon the parameters of cardiovascular health. The cardiovascular ageing is characterized by a series of complex pathophysiological changes affecting both the myocardium and the walls of the blood vessels at structural, cellular, molecular and functional levels. Heart and vessels conditions are the major component of age-related mortality [18]. Ageing is associated with functional changes in the blood vessels, including an increase in the stiffness of arteries that is the main contributor to hypertension [19]. Moreover, recent publication showed that an ageing of arteries correlates with chronological age much tighter than accompanying changes in biochemistry of the blood [20].

Carotid intima-media thickness (cIMT) is an established surrogate marker of atherosclerosis [21]. This parameter is also associated with metabolic syndrome, insulin sensitivity, and other age-related functional impairments [22,23]. Moreover, intima-media thickness was shown to reliably predict the progression of Alzheimer’s disease in general [24] and Alzheimer-associated cognitive decline in particular [25]. Moreover, revascularization improves cognitive function, thus, indicating that association between carotid artery stenosis and cognitive decline may be causative [26,27]. In probands, cIMT values significantly correlate with parent's longevity, thus, highlighting a familial predisposition to be long-lived [28]. Moreover, cIMT is strongly and significantly associated with cardiovascular and all-cause mortality [29].

Another cardiovascular predictor, Augmentation Index (AIx), is associated with the risk of symptomatic cardiovascular pathology development [30]. Aortic pulse wave velocity is a strong predictor of future CV events and all-cause mortality - an increase in aortic PWV by 1 m/s corresponded to an age-, sex-, and risk factor-adjusted risk increase of 14%, 15%, and 15% in total CV events, CV mortality, and all-cause mortality, respectively [31]. It is noteworthy that keeping cardiovascular health in a good shape leads to a reduction in the risk of cancer [32]. Recent study showed that the arterial age which is expressed as the degree of coronary artery calcification predicts an increased risk of cancer, chronic obstructive pulmonary disease, chronic kidney disease and hip fractures [33]. Senescent endothelial cell-secrete microvesicles with of miR-31 molecules, which inhibit osteogenic differentiation of mesenchymal stem cells [34]. In turn, an increase in arterial stiffness affects the oxygenation and the delivery of the nutrients to all other systems of human body. Thus, arterial aging could be seen as key contributor to an overall aging process.

Notably, individual components of the age-predictive Arterial Index are amenable to life style, dietary or medication-driven improvements. For example, geroprotective glucose-lowering compound acarbose were shown to decrease arterial stiffness by suppressing the levels of proinflammatory and profibrotic mediators CRP, PTX3, MMP-2 and MMP-9 in the plasma [35]. Pulse waive velocity may be improved by an increase in the intake of glutamic acid, leucine, and tyrosine [36], and by low dose valsartan intervention, either alone [37], or in combination with fluvastatin [38], or - in the mice models - with spermidine supplementation [39].

In our study, patients with more than five years of extra ageing implied by higher scores of Arterial Index also demonstrated significant elevation of CVD Prediction Scores [9] and lowered levels of serum IGF-1, the primary mediator of growth hormone (GH) effects, which is known to influence probability to develop major cardiovascular episode, all-cause mortality and cancer mortality [4042] and diabetes [43]. While cardiovascular prognosis is reportedly affected by both low and high levels of IGF-1 [42], no consensus on optimal IGF-1 levels is reached. Parallelled measurements of IFG-1 levels and Arterial Indices may help in deciphering optimal mode of growth hormone signaling in various age groups.

We believe that the proposed Arterial Indices may be useful for the prediction of biological age, while the deviation of these predictions from chronological age may be treated as an indicator of an increase in arterial and, probably, overall rate of aging. Arterial Indices can be used either alone or in combination with other biomarkers of elusive biological age and serve as surrogate outcomes for the studies of anti-aging interventions.

Methods

For this study, we enrolled 450 subjects who visited the National Research Center for Preventive Medicine in Moscow, Russia, from May 2012 to December 2012. To determine eligibility, each subject completed a questionnaire on their medical history a physical examination, and underwent a blood sampling. A total of 147 subjects were excluded based on current or previous history of coronary heart disease, peripheral arterial disease, arrhythmia, congestive heart failure, heart valve disease or stroke, hepatic or kidney failure, cancer diabetes, or current or past medication for diabetes, hypertension or hyperlipidemia. The chronological age of the remaining 303 subjects varied from 23 to 91 year, with mean age of 52 +/- 13 years. In a group of 199 women, mean age was 53.87 +/- 13.58 years, with minimal age of 23 years and maximal age of 91 years. In a group of 104 men, mean age was 48.46 +/- 12 years, with minimal age of 25 years and maximum age of 75 year. For every patient, second assessment was performed in 12 months after the first one.

At inception, we analyzed 89 anthropometrical and biochemical parameters as well as a variety of the biomarkers of cardiovascular health, telomere length and the activity of telomerase. Below we present technical details for the parameters that received highest Importance scores.

The medium intima thickness and the parameters of the carotid plaques

The carotid arteries were evaluated with high-resolution B-mode ultrasonography using linear hi-resolution probe of 17-5 MHz (PHILIPS iU22, Netherlands). All measurements were done by same operator. One longitudinal image of the common carotid artery and three longitudinal images of the internal carotid artery and the bifurcation were acquired in three projections (anterior, lateral, and posterior) and stored as 5 second loops. Additionally, the sectional images of all plaques were taken at the point of maximal vessel obstruction. The measurements of the carotid intima media thickness (cIMT) were performed in automatic mode. cIMT was assessed on the far wall of the common carotid artery, 1 cm proximal to the carotid bulb. All scans were measured by an experienced IMT reader using edge detection software. cIMTs on left and right sides were calculated as the maximal of nine distances between the carotid media–adventitia interface measured in three anterior, three posterior and three lateral projections, with an aid of 2DQ QLab software. cIMT(L)max and cIMT(R)max were equal to maximal cIMT measurement for the left and for the right carotid, respectively, while mean cIMT was further calculated as a sum of cIMT(L) and cIMT(R) divided by two.

For purposes of assessment, we have defined atherogenic plaque as a local thickening of the intima media complex by 1.5 mm, or a local thickening of the wall of the vessel by 50% as compared to its adjacent parts. All measurements were performed during diastole as defined by R-wave at simultaneously obtained cardiogram. After a statistical investigation of the strength of the associations between risk factors and intima–media thickness, the maximal rather than the mean intima–media thickness was selected as the key variable.

Percent of the stenosis

The following angiographic parameters were obtained: minimal lumen diameter (millimeters), reference vessel diameter (millimeters), and percent diameter stenosis. The percent of the stenosis was calculated at the area of maximal narrowing of the vessel as the diameter of the remaining lumen (% stenosis (D)) and as the decrease in the open space in the vessel (% stenosis (S)). In this analysis, maximal values for % stenosis (D) and % stenosis (D) were taken into account after through study of all the carotid vessels. Additionally, a sum of all stenotic events observed in all carotic vessels was calculated as % stenosis (D)sum and и % stenosis (S)sum.

Augmentation index and arterial stiffness

Augmentation index (AIx) was determined using the SphygmoCor 8.0 apparatus (PWV Medical, Sydney, Australia) and a high fidelity micromanometer. Data were collected after 20 sequential waveforms had been acquired, and averaged peripheral and corresponding central waveforms values calculated. The augmentation index was defined as the difference between the first (P1) and second (P2) peaks of the central arterial waveform, expressed as a percentage of the pulse pressure, and ejection duration as the time from the foot of the pressure wave to the incisura, as described previously [44].

Arterial stiffness was assessed according to the c-f PWV values with an aid of an applanation tonometer and electrocardiogram gating to attain pulse waves from both proximal (carotid artery) and distal (femoral artery) sites. The c-f PWV was calculated from the transit time between the two sites relative to the R-wave within the electrocardiogram complex using the ‘foot-to-foot method’ and the intersecting tangent algorithm [45]. For each subject, three sequential measurements were performed, and their mean value was considered for further analysis, after calculating the repeatability coefficient that was at 0.935.

Statistical analysis

The most common problem in machine learning is overfitting, which occurs when number of predictors is high. To perform feature selection, Pearson coefficients of correlation were calculated for each parameter and chronological age. Table 3 lists all directly quantifiable measures, and their correlation with age (combinatorial measures are omitted). Five predictors with the highest values of Pearson correlation coefficient were subjected for further analysis. The values for pulse wave velocity (PWV) parameter were log-transformed.

Table 3. List of assessed clinical parameters ranged by their Pearson correlation coefficient.

Clinical parameterCorrelation coefficientp-value
Minimal of two cIMTs measured for left and right carotid (cIMTmin)0.6845.76e-23
Maximal of two Stenosis values (STEN_A)0.5962.04e-22
Central blood pressure (difference between systolic and diastolic)0.5056.52e-22
Augmentation Index (Aix)0.4813.90e-13
Pulse wave velocity (PWV)0.4562.23e-12
Total number of atherogenic plaques in left and right carotids0.4534.23e-17
B-type natriuretic peptide0.3640.0006
Von Willebrand factor0.3582.47e-08
IGF-1-0.3310.0004
C-peptide0.3240.0007
Telomere length-0.3190.015
Systolic Blood Presure0.3184.52e-05
Urea0.2696.74e-05
Presence of hypertension0.2640.0005
Presence of Diabetes0.2633.42e-06
Fibrinogen0.2580.01
Telomerase activity-0.2460.0016
Presence of obesity0.2450.012
Sodium0.2390.006
Glucose0.2280.0015
ESR0.2250.0025
Glycosylated hemoglobin0.2240.0015
Waist circumference0.2180.0022
BMI0.1940.0064
Hips ratio0.1930.0069
Cholesterol0.1880.01
HOMA IR0.164NS
Apolipoprotein A10.1570.036
Waist to hip ratio0.1560.029
Apolipoprotein B0.1490.046
Insulin0.146NS
Insulin after 2h0.141NS
Potassium0.131NS
HDL0.13NS
LDL0.125NS
Creatinine0.114NS
Triglycerides0.106NS
Aldosterone-0.104NS

From clinical standpoint, models built upon easily interpretable regression are preferred to relatively laborious machine learning techniques, for example, Random Forest walk. Hence, for further reduction of the parameters we selected robust linear regression [46] implemented as a function lmrob in the software robustbase [47]. This type of regression models has an advantage of an easy interpretation coupled with lowered sensitivity to the outliers. To increase the sample size, for each patient we included the data collected both at study inception and at the follow-up, hence, representing a total of 606 sets of patients’ descriptions (Females: n = 281; Males: n = 133). Adding interactions between the predictors significantly improved the model for women (Wald test, p < 0.0001), but failed to improve the performance of the model for men.

To measure the error of their respective models, a majority of previous studies use Root Mean Square Error (RMSE) which measures the average magnitude of the error, or the difference between a forecast and a corresponding observed values that are each squared and then averaged over the sample, followed by taking the square root of the average. Since the errors are squared before they are averaged, the RMSE gives a relatively high weight to larger errors. Due to this feature, RMSE recently became a subject of the critique for its sensitivity to outliers, and overestimation of the model error. To mitigate that, in current study, an accuracy of the final model was measured by Mean Absolute Error (MAE) which averages the absolute values of the differences between forecast and the corresponding observation. MAE is defined as:

MAE=1Ni=1Nfi-yi,

where fi is a prediction of the model, yi is a true value and N is a number of samples.

In addition, we also measured ε-prediction (epsilon-prediction) accuracy. In order to calculate epsilon-prediction accuracy, the sample is considered correctly recognized if the predicted age is in the range of [true age -ε; true age +ε]. In this study, we considered ε = 10.

To check whether deltaAge parameters differ in groups of patients with hypertension and without this disease, and in groups with and without diabetes, Wilcoxon rank sum tests with continuity corrections were used. To correct for multipole comparisons, each p-value was adjusted using Holm’s method.

Acknowledgments

Machine learning ana­lysis was performed in Engelhardt Instit­ute of Molecular Bio­logy of Russian Acad­emy of Sciences. We thank Russian Clinic­al Research Center for Gerontology and Lomonosov Moscow State University Medical Center for providing clinical data as well as Moscow Instit­ute of physics and technology, School of Systems Biology of George Mason Univers­ity, Institute of bi­ology of RAS for com­puter modelling expe­rtise. We also thank Atlas biomed group and Research Centre for Medical Genetics for help with medic­al data interpretati­on

Conflicts of Interest

The authors report no conflicts of interest. The authors alone are responsible for writing the paper and the contents therein.

Funding

This research was supported by the Russian Science Foundation (Grant/Award Number: 14‐50‐00060).

References

  • 1. Comfort A. Test-battery to measure ageing-rate in man. Lancet. 1969; 2:1411–14. https://doi.org/10.1016/S0140-6736(69)90950-7 [PubMed]
  • 2. Velegzhaninov I, Mezenceva V, Shostal O, Baranova A, Moskalev A. Age dynamics of DNA damage and CpG methylation in the peripheral blood leukocytes of mice. Mutat Res. 2015; 775:38–42. https://doi.org/10.1016/j.mrfmmm.2015.03.006 [PubMed]
  • 3. Krištić J, Vučković F, Menni C, Klarić L, Keser T, Beceheli I, Pučić-Baković M, Novokmet M, Mangino M, Thaqi K, Rudan P, Novokmet N, Sarac J, et al. Glycans are a novel biomarker of chronological and biological ages. J Gerontol A Biol Sci Med Sci. 2014; 69:779–89. https://doi.org/10.1093/gerona/glt190 [PubMed]
  • 4. Peters MJ, Joehanes R, Pilling LC, Schurmann C, Conneely KN, Powell J, Reinmaa E, Sutphin GL, Zhernakova A, Schramm K, Wilson YA, Kobes S, Tukiainen T, et al, and NABEC/UKBEC Consortium. The transcriptional landscape of age in human peripheral blood. Nat Commun. 2015; 6:8570. https://doi.org/10.1038/ncomms9570 [PubMed]
  • 5. Weidner CI, Lin Q, Koch CM, Eisele L, Beier F, Ziegler P, Bauerschlag DO, Jöckel KH, Erbel R, Mühleisen TW, Zenke M, Brümmendorf TH, Wagner W. Aging of blood can be tracked by DNA methylation changes at just three CpG sites. Genome Biol. 2014; 15:R24. https://doi.org/10.1186/gb-2014-15-2-r24 [PubMed]
  • 6. Horvath S. DNA methylation age of human tissues and cell types. Genome Biol. 2013; 14:R115. https://doi.org/10.1186/gb-2013-14-10-r115 [PubMed]
  • 7. Zheng Y, Joyce BT, Colicino E, Liu L, Zhang W, Dai Q, Shrubsole MJ, Kibbe WA, Gao T, Zhang Z, Jafari N, Vokonas P, Schwartz J, et al. Blood Epigenetic Age may Predict Cancer Incidence and Mortality. EBioMedicine. 2016; 5:68–73. https://doi.org/10.1016/j.ebiom.2016.02.008 [PubMed]
  • 8. Horvath S, Gurven M, Levine ME, Trumble BC, Kaplan H, Allayee H, Ritz BR, Chen B, Lu AT, Rickabaugh TM, Jamieson BD, Sun D, Li S, et al. An epigenetic clock analysis of race/ethnicity, sex, and coronary heart disease. Genome Biol. 2016; 17:171. https://doi.org/10.1186/s13059-016-1030-0 [PubMed]
  • 9. Putin E, Mamoshina P, Aliper A, Korzinkin M, Moskalev A, Kolosov A, Ostrovskiy A, Cantor C, Vijg J, Zhavoronkov A. Deep biomarkers of human aging: application of deep neural networks to biomarker development. Aging (Albany NY). 2016; 8:1021–33. https://doi.org/10.18632/aging.100968 [PubMed]
  • 10. Levine ME. Modeling the rate of senescence: can estimated biological age predict mortality more accurately than chronological age? J Gerontol A Biol Sci Med Sci. 2013; 68:667–74. https://doi.org/10.1093/gerona/gls233 [PubMed]
  • 11. Belsky DW, Caspi A, Houts R, Cohen HJ, Corcoran DL, Danese A, Harrington H, Israel S, Levine ME, Schaefer JD, Sugden K, Williams B, Yashin AI, et al. Quantification of biological aging in young adults. Proc Natl Acad Sci USA. 2015; 112:E4104–10. https://doi.org/10.1073/pnas.1506264112 [PubMed]
  • 12. Sebastiani P, Thyagarajan B, Sun F, Schupf N, Newman AB, Montano M, Perls TT. Biomarker signatures of aging. Aging Cell. 2017; 16:329–38. https://doi.org/10.1111/acel.12557 [PubMed]
  • 13. Li Q, Wang S, Milot E, Bergeron P, Ferrucci L, Fried LP, Cohen AA. Homeostatic dysregulation proceeds in parallel in multiple physiological systems. Aging Cell. 2015; 14:1103–12. https://doi.org/10.1111/acel.12402 [PubMed]
  • 14. D’Agostino RBSr, Vasan RS, Pencina MJ, Wolf PA, Cobain M, Massaro JM, Kannel WB. General cardiovascular risk profile for use in primary care: the Framingham Heart Study. Circulation. 2008; 117:743–53. https://doi.org/10.1161/CIRCULATIONAHA.107.699579 [PubMed]
  • 15. Klemera P, Doubal S. A new approach to the concept and computation of biological age. Mech Ageing Dev. 2006; 127:240–48. https://doi.org/10.1016/j.mad.2005.10.004 [PubMed]
  • 16. Gao X, Zhang Y, Breitling LP, Brenner H. Relationship of tobacco smoking and smoking-related DNA methylation with epigenetic age acceleration. Oncotarget. 2016; 7:46878–89. [PubMed]
  • 17. Huzen J, Wong LS, van Veldhuisen DJ, Samani NJ, Zwinderman AH, Codd V, Cawthon RM, Benus GF, van der Horst IC, Navis G, Bakker SJ, Gansevoort RT, de Jong PE, et al. Telomere length loss due to smoking and metabolic traits. J Intern Med. 2014; 275:155–63. https://doi.org/10.1111/joim.12149 [PubMed]
  • 18. Finegold JA, Asaria P, Francis DP. Mortality from ischaemic heart disease by country, region, and age: statistics from World Health Organisation and United Nations. Int J Cardiol. 2013; 168:934–45. https://doi.org/10.1016/j.ijcard.2012.10.046 [PubMed]
  • 19. Sun Z. Aging, arterial stiffness, and hypertension. Hypertension. 2015; 65:252–56. https://doi.org/10.1161/HYPERTENSIONAHA.114.03617 [PubMed]
  • 20. Yang J, Huang T, Petralia F, Long Q, Zhang B, Argmann C, Zhao Y, Mobbs CV, Schadt EE, Zhu J, Tu Z, Ardlie KG, Deluca DS, et al, and GTEx Consortium. Synchronized age-related gene expression changes across multiple tissues in human and the link to complex diseases. Sci Rep. 2015; 5:15145. https://doi.org/10.1038/srep15145 [PubMed]
  • 21. Carpenter M, Sinclair H, Kunadian V. Carotid Intima Media Thickness and Its Utility as a Predictor of Cardiovascular Disease: A Review of Evidence. Cardiol Rev. 2016; 24:70–75. https://doi.org/10.1097/CRD.0000000000000077 [PubMed]
  • 22. Lee YH, Shin MH, Kweon SS, Nam HS, Park KS, Choi JS, Choi SW, Kim HY, Oh GJ, Ahn HR, Oh HS, Jeong SK. Normative and mean carotid intima-media thickness values according to metabolic syndrome in Koreans: the Namwon study. Atherosclerosis. 2014; 234:230–36. https://doi.org/10.1016/j.atherosclerosis.2014.02.023 [PubMed]
  • 23. Roussel R, Natali A, Balkau B, Højlund K, Sánchez G, Nolan JJ, Mari A, Kozakova M, Bonnet F. Beta-cell function is associated with carotid intima-media thickness independently of insulin resistance in healthy individuals. J Hypertens. 2016; 34:685–91. https://doi.org/10.1097/HJH.0000000000000842 [PubMed]
  • 24. Wang T, Mei B, Zhang J. Atherosclerotic carotid stenosis and cognitive function. Clin Neurol Neurosurg. 2016; 146:64–70. https://doi.org/10.1016/j.clineuro.2016.03.027 [PubMed]
  • 25. Buratti L, Balestrini S, Altamura C, Viticchi G, Falsetti L, Luzzi S, Provinciali L, Vernieri F, Silvestrini M. Markers for the risk of progression from mild cognitive impairment to Alzheimer’s disease. J Alzheimers Dis. 2015; 45:883–90. [PubMed]
  • 26. Lal BK, Younes M, Cruz G, Kapadia I, Jamil Z, Pappas PJ. Cognitive changes after surgery vs stenting for carotid artery stenosis. J Vasc Surg. 2011; 54:691–98. https://doi.org/10.1016/j.jvs.2011.03.253 [PubMed]
  • 27. Ortega G, Alvarez B, Quintana M, Yugueros X, Alvarez-Sabin J, Matas M. Asymptomatic carotid stenosis and cognitive improvement using transcervical stenting with protective flow reversal technique. Eur J Vasc Endovasc Surg. 2014; 47:585–92. https://doi.org/10.1016/j.ejvs.2014.02.022 [PubMed]
  • 28. Baldassarre D, Amato M, Veglia F, Pustina L, Castelnuovo S, Sanvito S, Gerosa L, Sirtori CR, Tremoli E. Correlation of parents’ longevity with carotid intima-media thickness in patients attending a Lipid Clinic. Atherosclerosis. 2005; 179:111–17. https://doi.org/10.1016/j.atherosclerosis.2004.08.032 [PubMed]
  • 29. Murakami S, Otsuka K, Hotta N, Yamanaka G, Kubo Y, Matsuoka O, Yamanaka T, Shinagawa M, Nunoda S, Nishimura Y, Shibata K, Takasugi E, Nishinaga M, et al. Common carotid intima-media thickness is predictive of all-cause and cardiovascular mortality in elderly community-dwelling people: Longitudinal Investigation for the Longevity and Aging in Hokkaido County (LILAC) study. Biomed Pharmacother. 2005 (Suppl 1); 59:S49–53. https://doi.org/10.1016/S0753-3322(05)80010-1 [PubMed]
  • 30. Nürnberger J, Keflioglu-Scheiber A, Opazo Saez AM, Wenzel RR, Philipp T, Schäfers RF. Augmentation index is associated with cardiovascular risk. J Hypertens. 2002; 20:2407–14. https://doi.org/10.1097/00004872-200212000-00020 [PubMed]
  • 31. Vlachopoulos C, Aznaouridis K, Stefanadis C. Prediction of cardiovascular events and all-cause mortality with arterial stiffness: a systematic review and meta-analysis. J Am Coll Cardiol. 2010; 55:1318–27. https://doi.org/10.1016/j.jacc.2009.10.061 [PubMed]
  • 32. Rasmussen-Torvik LJ, Shay CM, Abramson JG, Friedrich CA, Nettleton JA, Prizment AE, Folsom AR. Ideal cardiovascular health is inversely associated with incident cancer: the Atherosclerosis Risk In Communities study. Circulation. 2013; 127:1270–75. https://doi.org/10.1161/CIRCULATIONAHA.112.001183 [PubMed]
  • 33. Handy CE, Desai CS, Dardari ZA, Al-Mallah MH, Miedema MD, Ouyang P, Budoff MJ, Blumenthal RS, Nasir K, Blaha MJ. The Association of Coronary Artery Calcium With Noncardiovascular Disease: The Multi-Ethnic Study of Atherosclerosis. JACC Cardiovasc Imaging. 2016; 9:568–76. https://doi.org/10.1016/j.jcmg.2015.09.020 [PubMed]
  • 34. Weilner S, Schraml E, Wieser M, Messner P, Schneider K, Wassermann K, Micutkova L, Fortschegger K, Maier AB, Westendorp R, Resch H, Wolbank S, Redl H, et al. Secreted microvesicular miR-31 inhibits osteogenic differentiation of mesenchymal stem cells. Aging Cell. 2016; 15:744–54. https://doi.org/10.1111/acel.12484 [PubMed]
  • 35. Uzui H, Nakano A, Mitsuke Y, Geshi T, Sakata J, Sarazawa K, Morishita T, Satou T, Ishida K, Lee JD. Acarbose treatments improve arterial stiffness in patients with type 2 diabetes mellitus. J Diabetes Investig. 2011; 2:148–53. https://doi.org/10.1111/j.2040-1124.2010.00079.x [PubMed]
  • 36. Jennings A, MacGregor A, Welch A, Chowienczyk P, Spector T, Cassidy A. Amino Acid Intakes Are Inversely Associated with Arterial Stiffness and Central Blood Pressure in Women. J Nutr. 2015; 145:2130–38. https://doi.org/10.3945/jn.115.214700 [PubMed]
  • 37. Lunder M, Janic M, Sabovic M. Reduction of age-associated arterial wall changes by low-dose valsartan. Eur J Prev Cardiol. 2012; 19:1243–49. https://doi.org/10.1177/1741826711423104 [PubMed]
  • 38. Lunder M, Janić M, Jug B, Sabovič M. The effects of low-dose fluvastatin and valsartan combination on arterial function: a randomized clinical trial. Eur J Intern Med. 2012; 23:261–66. https://doi.org/10.1016/j.ejim.2011.11.011 [PubMed]
  • 39. LaRocca TJ, Gioscia-Ryan RA, Hearon CMJr, Seals DR. The autophagy enhancer spermidine reverses arterial aging. Mech Ageing Dev. 2013; 134:314–20. https://doi.org/10.1016/j.mad.2013.04.004 [PubMed]
  • 40. van Bunderen CC, van Nieuwpoort IC, van Schoor NM, Deeg DJ, Lips P, Drent ML. The association of serum insulin-like growth factor-I with mortality, cardiovascular disease, and cancer in the elderly: a population-based study. J Clin Endocrinol Metab. 2010; 95:4616–24. https://doi.org/10.1210/jc.2010-0940 [PubMed]
  • 41. Laughlin GA, Barrett-Connor E, Criqui MH, Kritz-Silverstein D. The prospective association of serum insulin-like growth factor I (IGF-I) and IGF-binding protein-1 levels with all cause and cardiovascular disease mortality in older adults: the Rancho Bernardo Study. J Clin Endocrinol Metab. 2004; 89:114–20. https://doi.org/10.1210/jc.2003-030967 [PubMed]
  • 42. Svensson J, Carlzon D, Petzold M, Karlsson MK, Ljunggren Ö, Tivesten A, Mellström D, Ohlsson C. Both low and high serum IGF-I levels associate with cancer mortality in older men. J Clin Endocrinol Metab. 2012; 97:4623–30. https://doi.org/10.1210/jc.2012-2329 [PubMed]
  • 43. Schneider HJ, Friedrich N, Klotsche J, Schipf S, Nauck M, Völzke H, Sievers C, Pieper L, März W, Wittchen HU, Stalla GK, Wallaschofski H. Prediction of incident diabetes mellitus by baseline IGF1 levels. Eur J Endocrinol. 2011; 164:223–29. https://doi.org/10.1530/EJE-10-0963 [PubMed]
  • 44. Wilkinson IB, MacCallum H, Flint L, Cockcroft JR, Newby DE, Webb DJ. The influence of heart rate on augmentation index and central arterial pressure in humans. J Physiol. 2000; 525:263–70.
  • 45. Rajzer MW, Wojciechowska W, Klocek M, Palka I, Brzozowska-Kiszka M, Kawecka-Jaszcz K. Comparison of aortic pulse wave velocity measured by three techniques: Complior, SphygmoCor and Arteriograph. J Hypertens. 2008; 26:2001–07. https://doi.org/10.1097/HJH.0b013e32830a4a25 [PubMed]
  • 46. Yohai VJ. High Breakdown-Point and High Efficiency Robust Estimates for Regression. The Institute of Mathematical Statistics; 1987; 642–56.
  • 47. Todorov V, Filzmoser P. An Object-Oriented Framework for Robust Multivariate Analysis. J Stat Softw. 2009; 32:1–47. https://doi.org/10.18637/jss.v032.i03