Aging
Navigate
Back to articleFigure 6(6 of 8)
100%
Figure 6
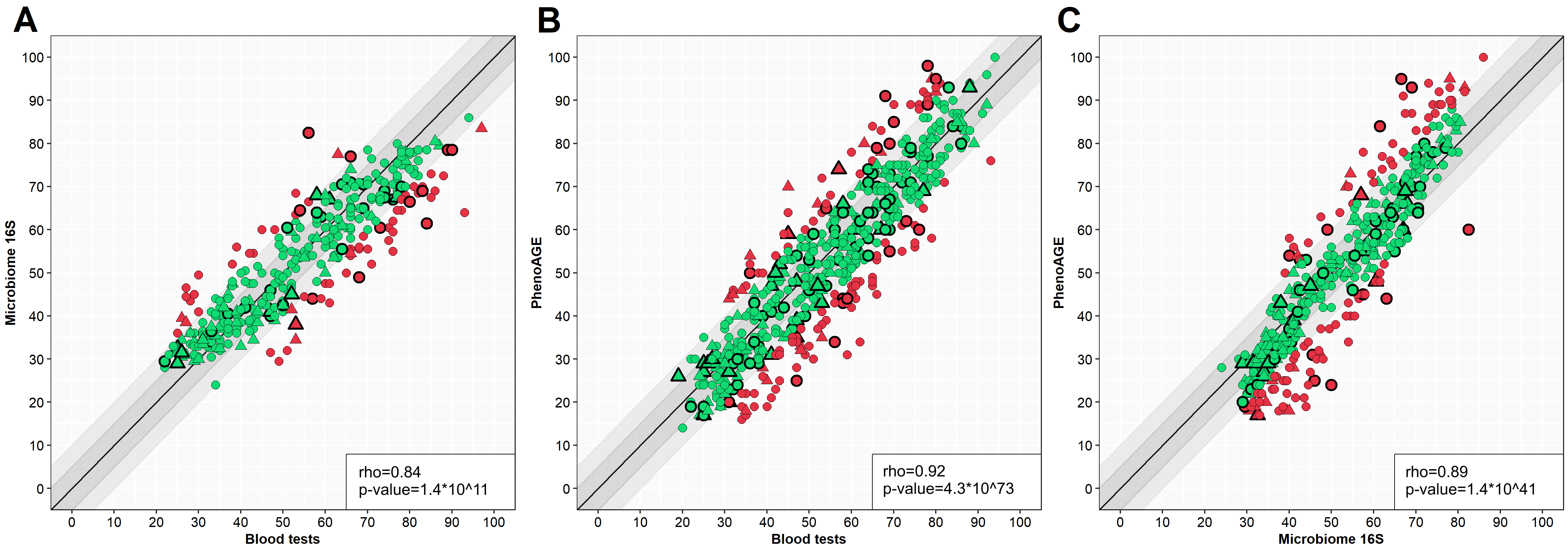
Figure 6.Scatter plots of different model results comparison. Y-axis – one model, X-axis – another model. Circle – women, triangle – men. Green – case in a 10-year spread, red – out of spread. Points with border – test set cases. (A) – blood tests model versus microbiome model, (B) – blood tests model versus PhenoAge, (C) – microbiome model versus PhenoAge. Outlined shapes – test subset samples. The correlation coefficients are presented for the test set.
Figure 6 — Blood biochemical and gut microbiotic neural network models forecasting human biological age | Aging