Research Paper Volume 18 pp 303—326

Association of epigenetic age acceleration with MRI biomarkers of aging and Alzheimer’s disease neurodegeneration

class="figure-viewer-img"

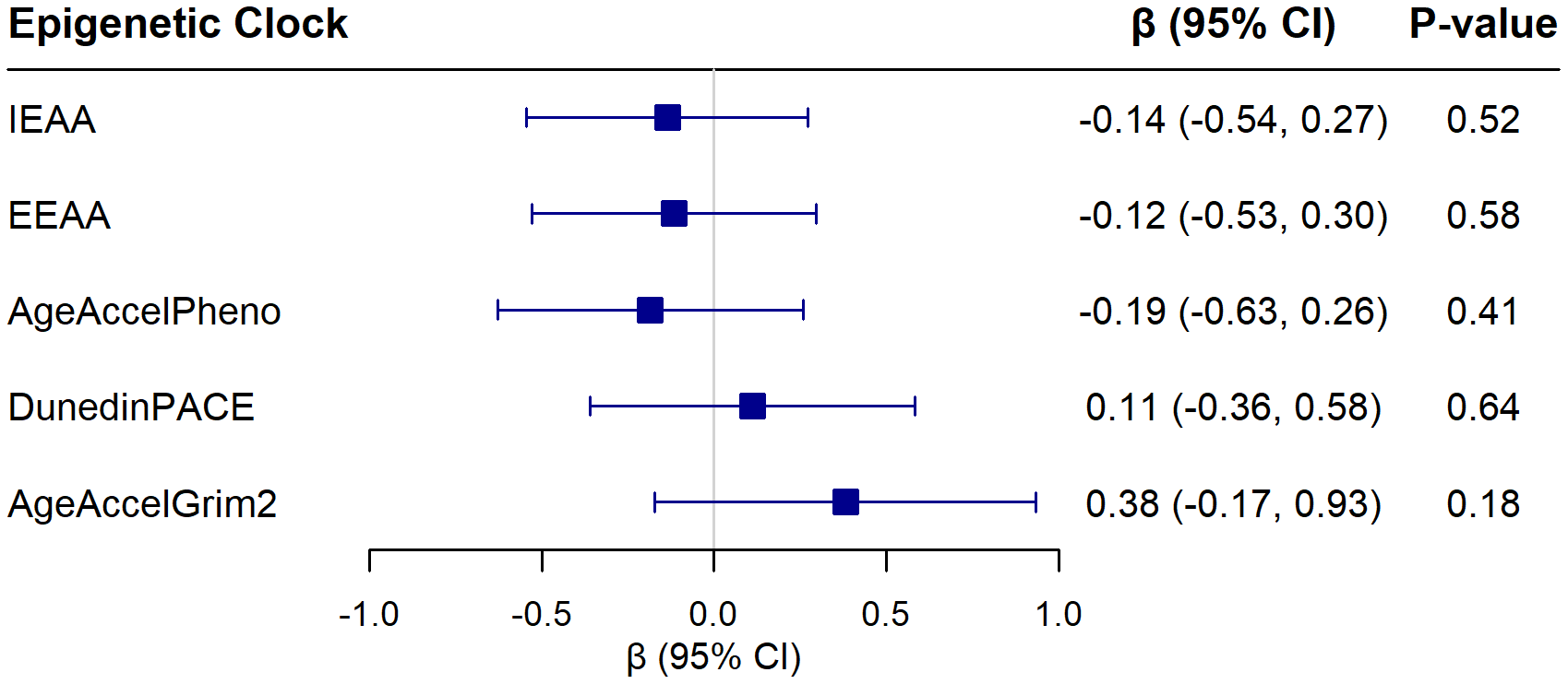
Associations of five epigenetic aging clocks with SPARE-BAA from linear regression models adjusting for chronological age, hormone therapy trial arm, education, smoking status, race, ethnicity, physical activity, BMI, diabetes, cardiovascular disease, cancer, and blood cell composition (models for IEAA and EEAA did not include blood cell composition). Beta coefficients are reported for each 1 standard deviation increase in the epigenetic measure.