Aging
Navigate
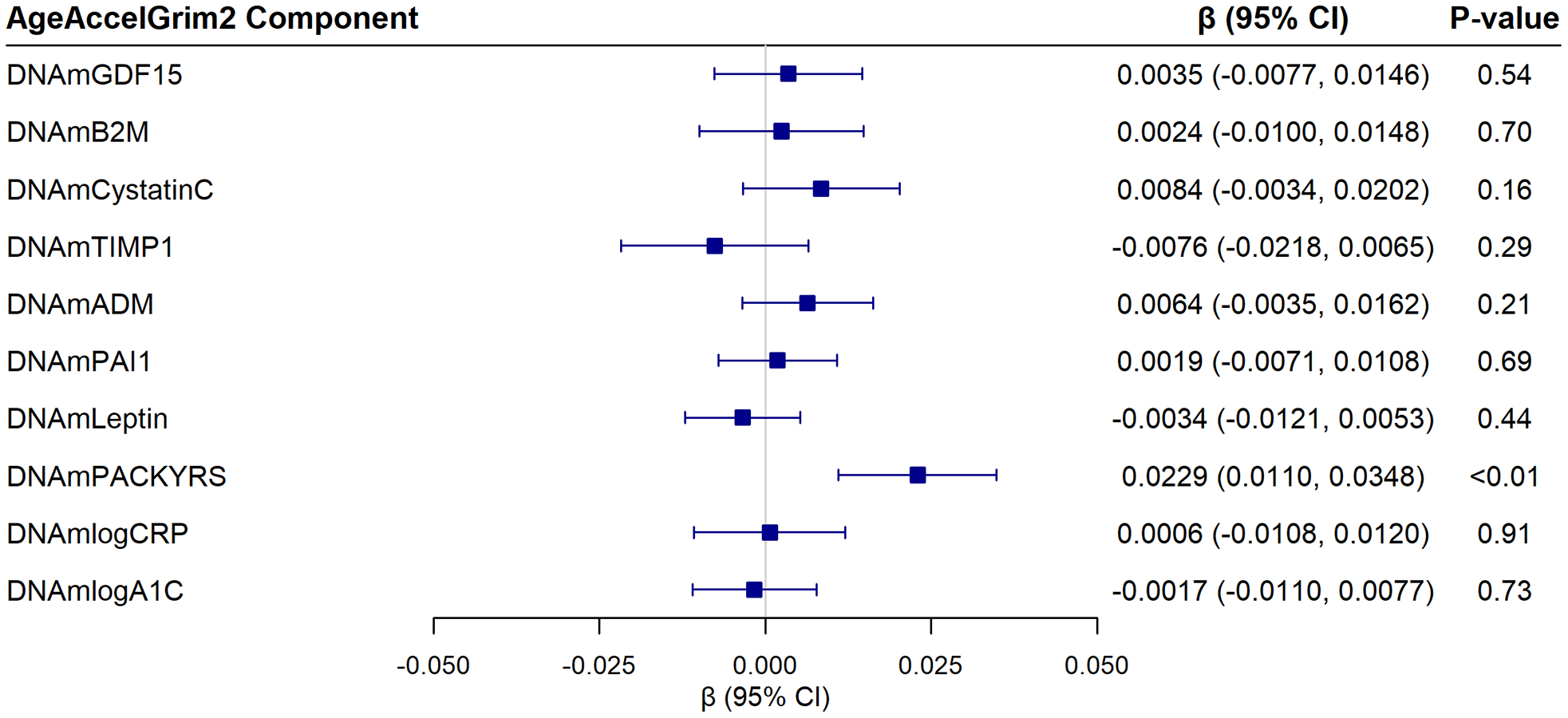
Back to articleFigure 3(3 of 5)
100%
Figure 3
Figure 3.Associations of the ten epigenetic components of the AgeAccelGrim2 clock with the AD-PS score from linear regression models adjusting for chronological age, hormone therapy trial arm, education, smoking status, race, ethnicity, physical activity, BMI, diabetes, cardiovascular disease, cancer, and blood cell composition. Beta coefficients are reported for each 1 standard deviation increase in the epigenetic measure. Abbreviations: DNAm GDF-15: epigenetic marker of growth differentiation factor 15; DNAm B2M: epigenetic marker of beta-2 microglobulin; DNAm Cystatin C: epigenetic marker of cystatin C; DNAm TIMP-1: epigenetic marker of tissue inhibitor metalloproteinase 1; DNAm ADM: epigenetic marker of adrenomedullin; DNAm PAI-1: epigenetic marker of plasminogen activation inhibitor 1; DNAm Leptin: epigenetic marker of leptin; DNAm Packyrs: epigenetic marker of smoking pack-years; DNAm logCRP: epigenetic marker of log-scale high sensitivity C-reactive protein; DNAm logA1C: epigenetic marker of log hemoglobin A1C.
Figure 3 — Association of epigenetic age acceleration with MRI biomarkers of aging and Alzheimer’s disease neurodegeneration | Aging