Aging
Navigate
Back to articleFigure 3(3 of 9)
100%
Figure 3
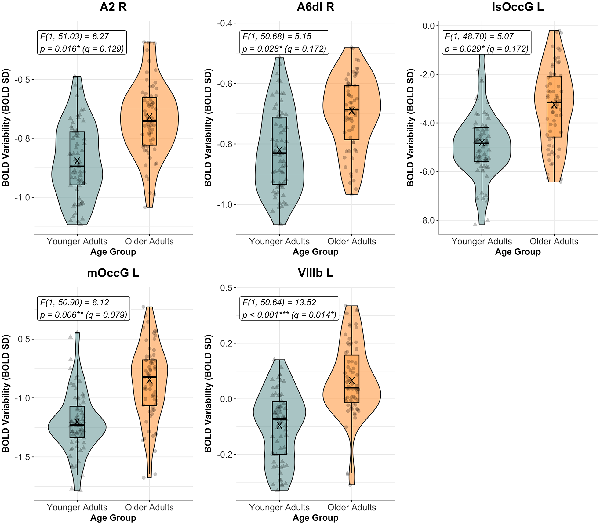
Figure 3.BOLD variability by age group in significant ROIs for main effect of age group before FDR correction. The figure shows transformed BOLD variability (BOLD SD) across age groups (Younger Adults in teal, and Older Adults in orange) during the Bimanual Tracking Task (BTT) for regions of interest (ROIs) that showed a significant main effect of AGE GROUP prior to FDR correction for multiple comparisons (p < 0.05). From these, only the group differences in the cerebellar lobe VIIIb survived correction (with q > 0.05). Individual data points reflect BOLD SD values pooled across all task conditions, per subject. F- and p-values for the main effect of AGE GROUP are reported for each ROI. Uncorrected significance levels: * p < 0.050, ** p < 0.010, *** p < 0.001. Corrected significance level: q < 0.05. Abbreviations: A2 = primary somatosensory cortex; A6dl = dorsolateral premotor cortex; FDR = False Discovery Rate; L = left; lsOccG = lateral superior occipital gyrus; mOccG = middle occipital gyrus; R = right; VIIIb = cerebellar lobule VIIIb.
Figure 3 — Age-specific relationship between the modulation of brain dynamics in response to task demands and bimanual performance | Aging